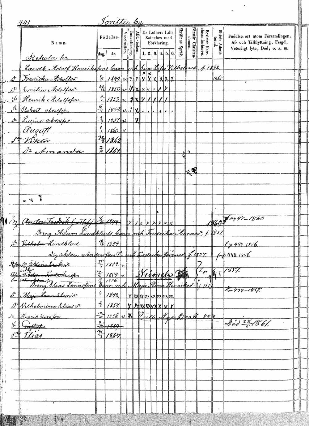
Padasjoki , Lastenkirja, 1855-1866 TK550 Kuva 338 Edellinen Seuraava

[ kuvat/338.jpg ]